Trong nghiên cứu khoa học xã hội và hành vi, phân tích tác động trung gian (mediation) và tác động điều tiết (moderation) được sử dụng rộng rãi để lý giải mối quan hệ giữa các biến. Tuy nhiên, trên thực tế, các mối quan hệ này thường không đơn giản. Cụ thể, mức độ tác động gián tiếp của biến độc lập (X) lên biến phụ thuộc (Y) thông qua biến trung gian (M) có thể thay đổi tùy theo giá trị của một biến điều tiết (W). Trường hợp này được gọi là mô hình moderated mediation, hay còn được biết đến với tên gọi tác động gián tiếp có điều kiện (conditional indirect effect).
1. Mô hình moderated mediation là gì?
Moderated mediation (trung gian có điều tiết) là mô hình trong đó tác động gián tiếp của biến độc lập X lên biến phụ thuộc Y thông qua biến trung gian M thay đổi theo mức độ của biến điều tiết W. Nói cách khác, cường độ (hoặc chiều hướng) của đường gián tiếp X → M → Y không cố định, mà phụ thuộc vào W.
- Mediation: X ảnh hưởng đến Y thông qua M
- Moderation: mối quan hệ giữa hai biến phụ thuộc vào W
- Moderated mediation: tác động gián tiếp của X lên Y phụ thuộc vào W
Mô hình moderated mediation giúp nhà nghiên cứu trả lời câu hỏi: “X ảnh hưởng đến Y thông qua M khi nào và trong điều kiện nào?”. Nhờ đó, mô hình này phản ánh tính phức tạp và điều kiện hóa của hành vi và hiện tượng xã hội, thay vì chỉ xem xét các tác động tuyến tính đơn giản.
Để kiểm định mô hình này, Macro PROCESS của Andrew Hayes trên SPSS là công cụ mạnh mẽ, đơn giản, và được trích dẫn rất nhiều trong các công bố quốc tế.
2. Các model moderated mediation trong PROCESS
Trong PROCESS v3 và v4, các mô hình moderated mediation thường dùng gồm những dạng sau:
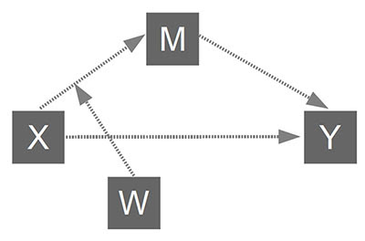
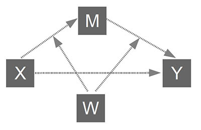
2.1 PROCESS moderated mediation Model 7

Cấu trúc
-
Biến điều tiết W tác động lên đường X → M (a-path).
-
Biến trung gian M tiếp tục ảnh hưởng đến Y theo cơ chế trung gian thông thường.
Ý nghĩa: Tác động của X lên M phụ thuộc vào mức độ của W, do đó hiệu ứng gián tiếp X → M → Y thay đổi theo W.
Ví dụ: Ảnh hưởng của chiến dịch quảng cáo (X) lên thái độ đối với thương hiệu (M) phụ thuộc vào mức độ gắn bó thương hiệu trước đó (W); sau đó, thái độ ảnh hưởng đến ý định mua (Y).
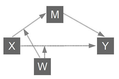
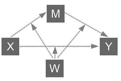
2.2 PROCESS moderated mediation Model 8

Cấu trúc
- Tương tự Model 7: W điều tiết đường X → M.
- Đồng thời, W có tác động trực tiếp lên Y.
Ý nghĩa: Biến W vừa làm thay đổi tác động gián tiếp, vừa ảnh hưởng trực tiếp đến kết quả Y.
Ví dụ: Gắn bó thương hiệu (W) không chỉ làm thay đổi tác động của quảng cáo (X) lên thái độ (M), mà còn tác động trực tiếp đến ý định mua (Y).
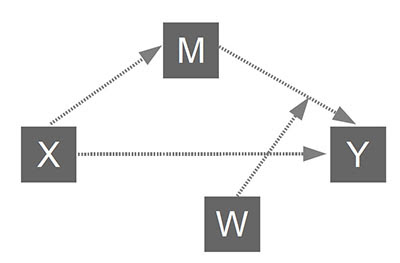
2.3 PROCESS moderated mediation Model 14

Cấu trúc
- W điều tiết đường M → Y (b-path).
- Đường X → M không bị điều tiết.
Ý nghĩa: Ảnh hưởng của M lên Y thay đổi theo W, vì vậy hiệu ứng gián tiếp X → M → Y là hiệu ứng có điều kiện.
Ví dụ: Thái độ đối với xe điện (M) ảnh hưởng đến ý định mua (Y) mạnh hơn khi mức độ am hiểu công nghệ (W) cao.
2.4 PROCESS moderated mediation Model 15

Cấu trúc
- W điều tiết đồng thời cả hai đường X → M và M → Y.
Ý nghĩa: Tác động gián tiếp của X lên Y thay đổi theo W ở cả hai giai đoạn (a-path và b-path).
Ví dụ: Trình độ học vấn (W) ảnh hưởng đến cách chương trình đào tạo (X) hình thành kiến thức (M), đồng thời ảnh hưởng đến việc kiến thức (M) chuyển hóa thành hiệu suất làm việc (Y).
2.5 PROCESS moderated mediation Model 58

Cấu trúc
- W điều tiết cả X → M và M → Y.
- Không có tác động trực tiếp từ W → Y.
Ý nghĩa: Hiệu ứng gián tiếp X → M → Y thay đổi theo W ở cả hai chặng, nhưng W chỉ đóng vai trò điều tiết, không tác động trực tiếp lên kết quả.
Ví dụ: Trình độ học vấn (W) vừa ảnh hưởng đến quá trình đào tạo (X) → kiến thức (M), vừa ảnh hưởng đến kiến thức (M) → hiệu suất (Y).
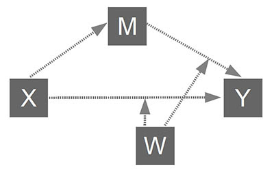
2.6 PROCESS moderated mediation Model 59

Cấu trúc
- Giống Model 58: W điều tiết cả X → M và M → Y.
- Đồng thời, W có tác động trực tiếp lên Y.
Ý nghĩa: Đây là mô hình toàn diện nhất, trong đó W tham gia vào tất cả các hướng tác động: điều tiết hiệu ứng gián tiếp và ảnh hưởng trực tiếp đến biến phụ thuộc.
Ví dụ: Trình độ học vấn (W) vừa làm thay đổi tác động của đào tạo (X) lên kiến thức (M), vừa làm thay đổi tác động của kiến thức (M) lên hiệu suất (Y), đồng thời ảnh hưởng trực tiếp đến hiệu suất (Y).
3. Phân tích moderated mediation bằng macro PROCESS v4 trên SPSS
3.1 Chuẩn bị tập dữ liệu phân tích
Giả sử tập dữ liệu nghiên cứu có cấu trúc biến như sau:
- Biến độc lập (X): gồm các biến quan sát X1, X2, X3
- Biến phụ thuộc (Y): gồm các biến quan sát Y1, Y2, Y3
- Biến trung gian (M): gồm các biến quan sát M1, M2, M3
- Biến điều tiết (W): gồm các biến quan sát W1, W2, W3
Tiến hành tính giá trị trung bình của các biến quan sát thuộc mỗi thang đo để tạo ra bốn biến tổng hợp đại diện cho các biến tiềm ẩn X, Y, M và W. Các biến này sau đó được sử dụng làm dữ liệu đầu vào cho phân tích mô hình moderated mediation bằng PROCESS Macro trên SPSS.

2.2 Thực hành phân tích moderated mediation bằng PROCESS trên SPSS
Tại giao diện SPSS, vào menu Analyze → Regression → PROCESS v4.2 by Andrew F. Hayes để mở hộp thoại phân tích.

Khi cửa sổ PROCESS xuất hiện, lần lượt thực hiện các bước sau:
-
Bước 1 – Chọn mô hình
Ở mục Model number, lựa chọn mô hình moderated mediation phù hợp với giả thuyết nghiên cứu (Model 7, 8, 14, 15, 58 hoặc 59). -
Bước 2 – Khai báo biến
-
Đưa biến phụ thuộc vào ô Y Variable
-
Đưa biến độc lập vào ô X Variable
-
Đưa biến trung gian vào ô Mediator(s) (M)
-
-
Bước 3 – Khai báo biến điều tiết
Đưa biến điều tiết vào ô Moderator Variable (W).
Sau khi hoàn tất khai báo biến, nhấp vào nút Options.

Trong cửa sổ Options, thiết lập các tùy chọn cần thiết (như bootstrap, khoảng tin cậy, mean-centering…) theo hướng dẫn minh họa. Sau đó nhấp Continue để quay lại cửa sổ PROCESS chính, và cuối cùng nhấp OK để SPSS thực hiện phân tích và xuất kết quả ra Output.

3. Cách đọc kết quả moderated mediation model PROCESS (7, 8, 14, 15, 58, 59)
Theo quan điểm của Andrew F. Hayes (2018), moderated mediation không nên được kết luận dựa trên ý nghĩa thống kê của từng hệ số tương tác riêng lẻ trong mô hình hồi quy. Thay vào đó, cần kiểm định trực tiếp chỉ số moderated mediation (Index of Moderated Mediation). Chỉ số này cho biết mức độ mà tác động gián tiếp thay đổi theo biến điều tiết, và được ước lượng kèm khoảng tin cậy bootstrap.
Cụ thể:
- Nếu khoảng tin cậy bootstrap của chỉ số moderated mediation không chứa giá trị 0, có thể kết luận tồn tại tác động trung gian có điều tiết.
- Ngược lại, nếu khoảng tin cậy này chứa 0, thì không có đủ bằng chứng thống kê để khẳng định sự tồn tại của moderated mediation, bất kể các hệ số tương tác điều tiết (ví dụ X×W) trong mô hình có đạt ý nghĩa thống kê hay không. Nói cách khác, quan hệ điều tiết có ý nghĩa hay không không quyết định việc moderated mediation có ý nghĩa hay không.
Tiêu chí kết luận moderated mediation có ý nghĩa
Một quan hệ trung gian được điều tiết được xem là có ý nghĩa thống kê khi:
CI Bootstrap không chứa 0 → quan hệ moderated mediation có ý nghĩa
CI Bootstrap chứa 0 → quan hệ moderated mediation không có ý nghĩa
Mặc dù ý nghĩa của quan hệ điều tiết không phải là tiêu chí kết luận chính, nhà nghiên cứu vẫn nên trình bày và thảo luận kết quả của phần tương tác điều tiết để cung cấp cái nhìn đầy đủ hơn về cấu trúc của mô hình.
Ví dụ, với kết quả phân tích moderated mediation PROCESS Model 7. Cách đọc kết quả tương tự cho 5 Model còn lại.

→ Biến Int_1 có p_value kiểm định t bằng 0.000 < 0.05 có ý nghĩa thống kê, như vậy biến W có vai trò điều tiết sự tác động từ X lên M. Hệ số điều tiết bằng 0.354 > 0, như vậy, khi W tăng sẽ làm X tác động mạnh hơn lên M.

→ Phần trọng tâm: Khoảng tin cậy bootstrap của hệ số trung gian được điều tiết dao dộng trong vùng [0.150; 0.383] không bao gồm giá trị 0, tác động gián tiếp X → M → Y được điều tiết bởi W có ý nghĩa thống kê với hệ số tác động trung gian là 0.244.
———-
Nguồn:
Hayes, A. F. (2018). Introduction to Mediation, Moderation, and Conditional Process Analysis: A Regression-Based Approach (Methodology in the Social Sciences) (2nd ed.). New York, NY: The Guilford Press.
